Home > Research & Publications > selectivity profile of afatinib
Selectivity profile of afatinib for EGFR-mutated non-small-cell lung cancer

Abstract
EGFR-mutated non-small-cell lung cancer (NSCLC) has long been a research focus in lung cancer studies. Besides reversible tyrosine kinase inhibitors (TKIs), new-generation irreversible inhibitors, such as afatinib, embark on playing an important role in NSCLC treatment. To achieve an optimal application of these inhibitors, the correlation between the EGFR mutation status and the potency of such an inhibitor should be decoded. In this study, the correlation was profiled for afatinib, based on a cohort of patients with the EGFR-mutated NSCLC. Relying on extracted DNAs from the paraffin-embedded tumor samples, EGFR mutations were detected by direct sequencing. Progression-free survival (PFS) and the response level were recorded as study endpoints. These PFS and response values were analyzed and correlated to different mutation types, implying a higher potency of afatinib to classic activation mutations (L858R and deletion 19) and a lower one to T790M-related mutations. To further bridge the mutation status with afatinib-related response or PFS, we conducted a computational study to estimate the binding affinity in a mutant–afatinib system, based on molecular structural modeling and dynamics simulations. The derived binding affinities were well in accordance with the clinical response or PFS values. At last, these computational binding affinities were successfully mapped to the patient response or PFS according to linear models. Consequently, a detailed mutation-response or mutation-PFS profile was drafted for afatinib, implying the selective nature of afatinib to various EGFR mutants and further encouraging the design of specialized therapies or innovative drugs.
Results

Figure 1. EGFR mutation profile and afatinib efficacy analysis of the patients. (a) EGFR mutation positions (exons 18 to 21) of the NSCLC patients. (b) EGFR mutation subtypes of the NSCLC patients. (c) Specific EGFR mutation types of the NSCLC patients. (d) Responses to afatinib during the TKI therapies, with first-line and sub-line treatments considered. (e) PFS values of afatinib during the therapies, with first-line and sub-line treatments considered. (f) Responses to afatinib regarding different mutation types. (g) PFS values of afatinib regarding different mutation types.

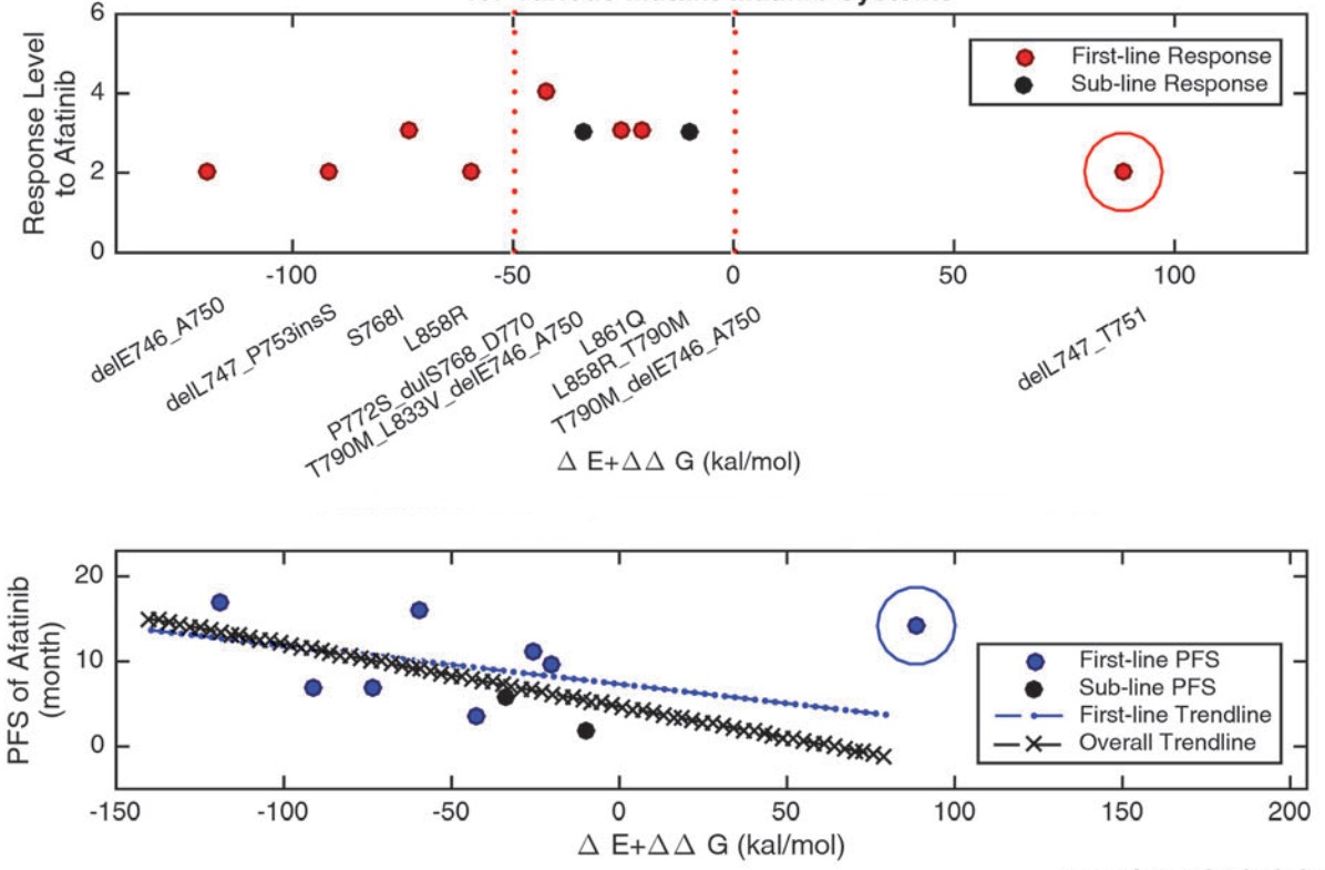
Figure 2. Analyses of the computationally resolved binding affinities in mutant-afatinib systems. (a) Simplified free energy differences (△E + △△Gsolv) solved by the GB or PB model and the entropy term (-T△S) for various mutant-afatinib systems. (b and c) Ranked free energy differences from (a). Here averaged free energy differences, respectively, of the mutations regarding first-line-afatinib treatments and those corresponding to sub-line-afatinib treatments, are displayed. (d) Distribution of the free energy difference (GB model) vs. response level, with an outlier marked. (e) Distribution of the free energy difference (PB model) vs. response level, with an outlier marked. (f) Distribution of the free energy difference (GB model) vs. PFS, with trendlines presented and an outlier marked. (g) Distribution of the free energy difference (PB model) vs. PFS, with trendlines presented and an outlier marked. (h) Experimentally resolved inhibitory constants of afatinib for different EGFR-family receptors. (i) Ranking of afatinib potency for EGFR kinases with reference to (g). (j) Ranking of computationally resolved afatinib potency for EGFR kinases, with both the GB and PB models considered.
[Back]